近日,住房和城鄉建設部發布國家標準《建筑節能與可再生能源利用通用規范》的公告。建筑碳排放計算作為強制要求,可研、建設、設計方案應包含建筑碳排放分析報告,碳排放強度要達到一定水平,從2021年4月1日起實施。

建筑物如何進行碳排放計算?
2019年住房和城鄉建設部批準《建筑碳排放計算標準》為國家標準,編號為GB/T51366-2019。明確了建筑碳排放計算標準,明確了建筑物排放的定義,計算邊界,排放因子以及計算方法。
建筑碳排放是指建筑物在與其有關的建材生產及運輸、建造及拆除、運行階段產生的溫室氣體排放的總和,以二氧化碳當量表示。計算邊界是指 與建筑物建材生產及運輸、建造及拆除、運行等活動相關的溫室氣體排放的計算范圍。建筑碳匯是指在劃定的建筑物項目范圍內,綠化、植被從空氣中吸收并存儲的二氧化碳量。
11月16日,北京檸檬樹綠色建筑科技有限公司碳資產管理師李丹女士將為大家分享《建筑全生命周期碳排放分析》,歡迎建筑業同仁觀看直播。
《建筑碳排放計算標準》全文
1總則
2術語和符號
2.1術語
2.2符號
3基本規定
4運行階段碳排放計算
4.1一般規定
4.2暖通空調系統
4.3生活熱水系統
4.4照明及電梯系統
4.5可再生能源系統
4.5可再生能源系統
5建造及拆除階段碳排放計算
5.1一般規定
5.2建筑建造
5.3建筑拆除
6建材生產及運輸階段碳排放計算
6.1一般規定
6.2建材生產
6.3建材運輸
附錄A主要能源碳排放因子
附錄B建筑物運行特征
附錄C常用施工機械臺班能源用量
附錄D建材碳排放因子
附錄E建材運輸碳排放因子
本標準用詞說明
引用標準名錄
1總則
1.0.1為貫徹國家有關應對氣候變化和節能減排的方針政策,規范建筑碳排放計算方法,節約資源,保護環境,制定本標準。
1.0.2本標準適用于新建、擴建和改建的民用建筑的運行、建造及拆除、建材生產及運輸階段的碳排放計算。
1.0.3建筑碳排放計算除應符合本標準外,尚應符合國家現行有關標準的規定。
2術語和符號
2.1術語
2.1.1建筑碳排放buildingcarbonemission
建筑物在與其有關的建材生產及運輸、建造及拆除、運行階段產生的溫室氣體排放的總和,以二氧化碳當量表示。
2.1.2計算邊界accountingboundary
與建筑物建材生產及運輸、建造及拆除、運行等活動相關的溫室氣體排放的計算范圍。
2.1.3碳排放因子carbonemissionfactor
將能源與材料消耗量與二氧化碳排放相對應的系數,用于量化建筑物不同階段相關活動的碳排放。
2.1.4建筑碳匯carbonsinkofbuildings
在劃定的建筑物項目范圍內,綠化、植被從空氣中吸收并存儲的二氧化碳量。
2.1.5全球變暖潛值globalwarmingpotential
在固定時間范圍內1kg物質與1kg二氧化碳(CO2)的脈沖排放引起的時間累積輻射力的比率。
2.2符號
2.2.1幾何尺寸
A——建筑面積;
Ac——太陽集熱器面積;
Ai——第i個房間照明面積;
Ap——光伏系統光伏面板凈面積;
Aw——風機葉片迎風面積;
D——風機葉片直徑;
Di——第i種建材平均運輸距離。
2.2.2碳排放量
CCC——建筑拆除階段單位建筑面積的碳排放量;
Cp——建筑綠地碳匯系統年減碳量;
CM——建筑運行階段單位建筑面積碳排放量;
Cr——建筑使用制冷劑產生的碳排放量;
CJC——建材生產及運輸階段單位建筑面積的碳排放量;
CJZ——建筑建造階段單位建筑面積的碳排放量;
Csc——建材生產階段碳排放;
Cys——建材運輸過程碳排放。
2.2.3能源供給、消耗量
Ee——年電梯能耗;
Ei——建筑第i類能源年消耗量;
Ecc——建筑拆除階段能源用量;
Ecc,i——建筑拆除階段第i種能源總用量;
Ecs——措施項目總能源用量;
Ei,j——j類系統的第i類能源消耗量;
Ejz——建筑建造階段總能源用量;
Ejz,i——建筑建造階段第i種能源總用量;
Ejj,i——第i個項目中,小型施工機具不列入機械臺班消耗量,但其消耗的能源列入材料的部分能源用量;
Efx——分部分項工程總能源用量;
EFi——第i類能源的碳排放因子;
E1——照明系統年能耗;
Epv——光伏系統的年發電量;
Estandby——電梯待機時能耗;
ERi,j——j類系統消耗由可再生能源系統提供的第i類能源量;
Ewt——風力發電機組的年發電量;
Ew——生活熱水系統年能源消耗;
I——光伏電池表面的年太陽輻射照度;
JT——太陽集熱器采光面上的年平均太陽輻照量;
Mi——第i種主要建材的消耗量;
P——特定能量消耗;
Pi,j——第j日第i個房間照明功率密度值;
Pp——應急燈照明功率密度;
Qcc,i——第i個拆除項目的工程量;
Qr——生活熱水年耗熱量;
Qrp——生活熱水小時平均耗熱量;
Qs——太陽能系統提供的生活熱水熱量;
Qs,a——太陽能熱水系統的年供能量;
Qfx,i——分部分項工程中第i個項目的工程量;
Qcs,i——措施項目中第i個項目的工程量;
qr——熱水用水定額;
Rj——第i個項目第j種施工機械單位臺班的能源用量;
Ti——第i種建材的運輸方式下,單位重量運輸距離的碳排放因子;
Ti,j——第i個項目單位工程量第j種施工機械臺班消耗量;
TA-i,j——第i個措施項目單位工程量第j種施工機械臺班消耗量;
TB-i,j——第i個拆除項目單位工程量第j種施工機械臺班消耗量。
2.2.4計算系數
APD——年平均能量密度;
CR(z)——依據高度計算的粗糙系數;
EPF——根據典型氣象年數據中逐時風速計算出的因子;
Fi——第i種主要建材的碳排放因子;
ffx,i——分部分項工程中第i個項目的能耗系數;
fcs,i——措施項目中第i個項目的能耗系數;
fcc,i——第i個拆除項目每計量單位的能耗系數;
GWPr——制冷劑r的全球變暖潛值;
KE——光伏電池的轉換效率;
KS——光伏系統的損失效率;
m——用水計算單位數;
KWT——風力發電機組的轉換效率;
ηr——生活熱水輸配效率;
ηw——生活熱水系統熱源年平均效率;
ηcd——基于總面積的集熱器平均集熱效率;
ηL——管路和儲熱裝置的熱損失率。
2.2.5風速、溫度、密度和時間
mr——制冷劑充注量;
ti,j——第j日第i個房間照明時間;
T——年生活熱水使用小時數;
ta——電梯年平均運行小時數;
tr——設計熱水溫度;
tl——設計冷水溫度;
ts——電梯年平均待機小時數;
V——電梯速度;
V0——年可利用平均風速;
Vi——逐時風速;
W——電梯額定載重量;
y——建筑設計壽命;
ye——設備使用壽命;
ρ——空氣密度;
ρr——熱水密度。
2.2.6其他
KR——場地因子;
r——制冷劑類型;
z0——地表粗糙系數。
3基本規定
3.0.1建筑物碳排放計算應以單棟建筑或建筑群為計算對象。
3.0.2建筑碳排放計算方法可用于建筑設計階段對碳排放量進行計算,或在建筑物建造后對碳排放量進行核算。
3.0.3建筑物碳排放計算應根據不同需求按階段進行計算,并可將分段計算結果累計為建筑全生命期碳排放。
3.0.4碳排放計算應包含《IPCC國家溫室氣體清單指南》中列出的各類溫室氣體。
3.0.5建筑運行、建造及拆除階段中因電力消耗造成的碳排放計算,應采用由國家相關機構公布的區域電網平均碳排放因子。
3.0.6建筑碳排放量應按本標準提供的方法和數據進行計算,宜采用基于本標準計算方法和數據開發的建筑碳排放計算軟件計算。
4運行階段碳排放計算
4.1一般規定
4.1.1建筑運行階段碳排放計算范圍應包括暖通空調、生活熱水、照明及電梯、可再生能源、建筑碳匯系統在建筑運行期間的碳排放量。
4.1.2碳排放計算中采用的建筑設計壽命應與設計文件一致,當設計文件不能提供時,應按50年計算。
4.1.3建筑物碳排放的計算范圍應為建設工程規劃許可證范圍內能源消耗產生的碳排放量和可再生能源及碳匯系統的減碳量。
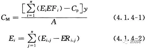
4.1.4建筑運行階段碳排放量應根據各系統不同類型能源消耗量和不同類型能源的碳排放因子確定,建筑運行階段單位建筑面積的總碳排放量(CM)應按下列公式計算:

式中:CM——建筑運行階段單位建筑面積碳排放量(kgC02/m2);
Ei——建筑第i類能源年消耗量(單位/a);
EFi——第i類能源的碳排放因子,按本標準附錄A取值;
Ei,j——j類系統的第i類能源消耗量(單位/a);
ERi,j——j類系統消耗由可再生能源系統提供的第i類能源量(單位/a);
i——建筑消耗終端能源類型,包括電力、燃氣、石油、市政熱力等;
j——建筑用能系統類型,包括供暖空調、照明、生活熱水系統等;
Cp——建筑綠地碳匯系統年減碳量(kgC02/a);
y——建筑設計壽命(a);
A——建筑面積(m2)。
4.2暖通空調系統
4.2.1暖通空調系統能耗應包括冷源能耗、熱源能耗、輸配系統及末端空氣處理設備能耗。
4.2.2暖通空調系統能耗計算方法應符合下列規定:
1應采用月平均方法計算年累計冷負荷和累計熱負荷;
2應分別設置工作日和節假日室內人員數量、照明功率、設備功率、室內設定溫度、供暖和空調系統運行時間;
3應根據負荷計算結果和室內環境參數計算供暖和供冷起止時間;
4應反映建筑外圍護結構熱惰性對負荷的影響;
5負荷計算時應能夠計算不少于10個建筑分區;
6應計算暖通空調系統間歇運行對負荷計算結果的影響;
7應考慮能源系統形式、效率、部分負荷特性對能耗的影響;
8計算結果應包括負荷計算結果、按能源類型輸出系統能耗計算結果;
9建筑運行參數可參照本標準附錄B的建筑物運行特征確定。
4.2.3建筑碳排放計算模型中建筑分區應考慮建筑物理分隔、建筑區域功能、為分區提供服務的暖通空調系統、區域內采光(通過外窗或天窗)情況。
4.2.4年供暖(供冷)負荷應包括圍護結構的熱損失和處理新風的熱(冷)需求;處理新風的熱(冷)需求應扣除從排風中回收的熱量(冷量)。
4.2.5建筑碳排放計算中建筑室內環境計算參數應與設計參數一致,并應符合國家現行相關標準的要求。
4.2.6建筑碳排放計算氣象參數的選取應符合現行行業標準《建筑節能氣象參數標準》JGJ/T346的規定。
4.2.7建筑碳排放計算應定義建筑圍護結構,圍護結構的熱工性能及構造做法應與設計文件一致。
4.2.8建筑碳排放計算中應分別計算建筑累積冷負荷和累積熱負荷。
4.2.9建筑碳排放計算中的累積冷熱負荷應根據下列內容確定:
1通過圍護結構傳入的熱量;
2透過透明圍護結構進入的太陽輻射熱量;
3人體散熱量;
4照明散熱量;
5設備、器具、管道及其他內部熱源的散熱量;
6食品或物料的散熱量;
7滲透空氣帶入的熱量;
8伴隨各種散濕過程產生的潛熱量。
4.2.10建筑碳排放計算時應計算氣密性、風壓和熱壓的作用、人員密度、新風量、熱回收系統效率對通風負荷的影響。
4.2.11建筑累積冷負荷和熱負荷應根據建筑物分區的空調系統計算,同一暖通空調系統服務的建筑物分區的冷負荷和熱負荷應分別進行求和計算。
4.2.12根據建筑年供冷負荷和年供暖負荷計算暖通空調系統終端能耗時應根據下列影響因素分別進行計算:
1供冷供暖系統類型;
2冷源和熱源的效率;
3泵與風機的能耗情況;
4末端類型;
5系統控制策略;
6系統運行內部冷熱抵消等情況;
7暖通空調系統能量輸送介質的影響;
8冷熱回收措施。
4.2.13暖通空調系統中由于制冷劑使用而產生的溫室氣體排放,應按下式計算:

式中:Cr——建筑使用制冷劑產生的碳排放量(tC02e/a);
r——制冷劑類型;
mr——設備的制冷劑充注量(kg/臺);
ye——設備使用壽命(a);
GWPr——制冷劑r的全球變暖潛值。
4.2.14建筑物碳排放計算采用的冷熱源及相關用能設備的性能參數應與設計文件一致。
4.2.15建筑冷熱源的能耗計算應計入負載、輸送過程和末端的冷熱量損失等因素的影響。
4.2.16輸送系統的能耗計算應計入水泵與風機的效率、運行時長、實際工作狀態點的負載率、變頻等因素的影響。
4.3生活熱水系統
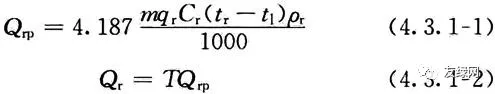
4.3.1建筑物生活熱水年耗熱量的計算應根據建筑物的實際運行情況,并應按下列公式計算:

式中:Qr——生活熱水年耗熱量(kwh/a);
Qrp——生活熱水小時平均耗熱量(kW/h);
T——年生活熱水使用小時數(h);
m——用水計算單位數(人數或床位數,取其一);
qr——熱水用水定額(L/人),按現行國家標準《民用建筑節水設計標準》GB50555確定;
ρr——熱水密度(kg/L);
tr——設計熱水溫度(℃);
tl——設計冷水溫度(℃)。
4.3.2建筑生活熱水系統能耗應按下式計算,且計算采用的生活熱水系統的熱源效率應與設計文件一致。

式中:Ew——生活熱水系統年能源消耗(kwh/a);
Qr——生活熱水年耗熱量(kWh/a);
Qs——太陽能系統提供的生活熱水熱量(kWh/a);
ηr——生活熱水輸配效率,包括熱水系統的輸配能耗、管道熱損失、生活熱水二次循環及儲存的熱損失(%);
ηw——生活熱水系統熱源年平均效率(%)。
4.4照明及電梯系統
4.4.1建筑碳排放計算采用的照明功率密度值應同設計文件一致。
4.4.2照明系統能耗計算應將自然采光、控制方式和使用習慣等因素影響計入。
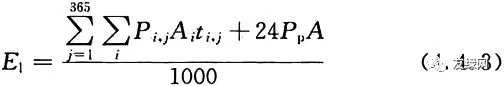
4.4.3照明系統無光電自動控制系統時,其能耗計算可按下式計算:

式中:E1——照明系統年能耗(kwh/a);
Pi,j——第j日第i個房間照明功率密度值(W/m2);
Ai——第i個房間照明面積(m2);
ti,j——第j日第i個房間照明時間(h);
Pp——應急燈照明功率密度(W/m2);
A——建筑面積(m2)。
4.4.4電梯系統能耗應按下式計算,且計算中采用的電梯速度、額定載重量、特定能量消耗等參數應與設計文件或產品銘牌一致。

式中:Ee——年電梯能耗(kWh/a);
P——特定能量消耗(mWh/kgm);
ta——電梯年平均運行小時數(h);
V——電梯速度(m/s);
W——電梯額定載重量(kg);
Estandby——電梯待機時能耗(W);
ts——電梯年平均待機小時數(h)。
4.5可再生能源系統
4.5.1可再生能源系統應包括太陽能生活熱水系統、光伏系統、地源熱泵系統和風力發電系統。
4.5.2太陽能熱水系統提供能量可按下式計算:

式中:Qs,a——太陽能熱水系統的年供能量(kwh);
Ac——太陽集熱器面積(m2);
JT——太陽集熱器采光面上的年平均太陽輻照量(MJ/m2);
ηcd——基于總面積的集熱器平均集熱效率(%);
ηL——管路和儲熱裝置的熱損失率(%)。
4.5.3太陽能熱水系統提供的能量不應計入生活熱水的耗能量。
4.5.4地源熱泵系統的節能量應計算在暖通空調系統能耗內。
4.5.5光伏系統的年發電量可按下式計算:

式中:Epv——光伏系統的年發電量(kWh);
I——光伏電池表面的年太陽輻射照度(kwh/m2);
KE——光伏電池的轉換效率(%);
KS——光伏系統的損失效率(%);
Ap——光伏系統光伏面板凈面積(m2)。
4.5.6風力發電機組年發電量可按下列公式計算:

式中:Ewt——風力發電機組的年發電量(kwh);
ρ——空氣密度,取1.225kg/m3;
CR(z)——依據高度計算的粗糙系數;
KR——場地因子;
z0——地表粗糙系數;
V0——年可利用平均風速(m/s);
Aw——風機葉片迎風面積(m2);
D——風機葉片直徑(m);
EPF——根據典型氣象年數據中逐時風速計算出的因子;
APD——年平均能量密度(W/m2);
Vi——逐時風速(m/s);
KWT——風力發電機組的轉換效率。
5建造及拆除階段碳排放計算
5.1一般規定
5.1.1建筑建造階段的碳排放應包括完成各分部分項工程施工產生的碳排放和各項措施項目實施過程產生的碳排放。
5.1.2建筑拆除階段的碳排放應包括人工拆除和使用小型機具機械拆除使用的機械設備消耗的各種能源動力產生的碳排放。
5.1.3建筑建造和拆除階段的碳排放的計算邊界應符合下列規定:
1建造階段碳排放計算時間邊界應從項目開工起至項目竣工驗收止,拆除階段碳排放計算時間邊界應從拆除起至拆除肢解并從樓層運出止;
2建筑施工場地區域內的機械設備、小型機具、臨時設施等使用過程中消耗的能源產生的碳排放應計入;
3現場攪拌的混凝土和砂漿、現場制作的構件和部品,其產生的碳排放應計入;
4建造階段使用的辦公用房、生活用房和材料庫房等臨時設施的施工和拆除可不計入。
5.2建筑建造
5.2.1建筑建造階段的碳排放量應按下式計算:

式中:CJZ——建筑建造階段單位建筑面積的碳排放量(kgCO2/m2);
Ejz,i——建筑建造階段第i種能源總用量(kWh或kg);
EFi——第i類能源的碳排放因子(kgCO2/kWh或kgCO2/kg),按本標準附錄A確定;
A——建筑面積(m2)。
5.2.2建造階段的能源總用量宜采用施工工序能耗估算法計算。
5.2.3施工工序能耗估算法的能源用量應按下式計算:
Ejz=Efx+Ecs(5.2.3)
式中:Ejz——建筑建造階段總能源用量(kwh或kg);
Efx——分部分項工程總能源用量(kwh或kg);
Ecs——措施項目總能源用量(kwh或kg)。
5.2.4分部分項工程能源用量應按下列公式計算:

式中:Qfx,i——分部分項工程中第i個項目的工程量;
ffx,i——分部分項工程中第i個項目的能耗系數(kwh/工程量計量單位);
Ti,j——第i個項目單位工程量第j種施工機械臺班消耗量(臺班);
Rj——第i個項目第j種施工機械單位臺班的能源用量(kwh/臺班),按本標準附錄C確定,當有經驗數據時,可按經驗數據確定;
Ejj,i——第i個項目中,小型施工機具不列入機械臺班消耗量,但其消耗的能源列入材料的部分能源用量(kwh);
i——分部分項工程中項目序號;
j——施工機械序號。
5.2.5措施項目的能耗計算應符合下列規定:
1腳手架、模板及支架、垂直運輸、建筑物超高等可計算工程量的措施項目,其能耗應按下列公式計算:

式中:Qcs,i——措施項目中第i個項目的工程量;
fcs,i——措施項目中第i個項目的能耗系數(kwh/工程量計量單位);
TA-i,j——第i個措施項目單位工程量第j種施工機械臺班消耗量(臺班);
Rj——第i個項目第j種施工機械單位臺班的能源用量(kwh/臺班),按本標準附錄C對應的機械類別確定;
i——措施項目序號;
j——施工機械序號。
2施工降排水應包括成井和使用兩個階段,其能源消耗應根據項目降排水專項方案計算。
3施工臨時設施消耗的能源應根據施工企業編制的臨時設施布置方案和工期計算確定。
5.3建筑拆除
5.3.1建筑拆除階段的單位建筑面積的碳排放量應按下式計算:

式中:CCC——建筑拆除階段單位建筑面積的碳排放量(kgCO2/m2);
Ecc,i——建筑拆除階段第i種能源總用量(kWh或kg);
EFi——第i類能源的碳排放因子(kgCO2/kWh),按本標準附錄A確定;
A——建筑面積(m2)。
5.3.2建筑物人工拆除和機械拆除階段的能源用量應按下列公式計算:

式中:Ecc——建筑拆除階段能源用量(kwh或kg);
Qcc,i——第i個拆除項目的工程量;
fcc,i——第i個拆除項目每計量單位的能耗系數(kwh/工程量計量單位或kg/工程量計量單位);
TB-i,j——第i個拆除項目單位工程量第j種施工機械臺班消耗量;
Rj——第i個項目第j種施工機械單位臺班的能源用量;
i——拆除工程中項目序號;
j——施工機械序號。
5.3.3建筑物爆破拆除、靜力破損拆除及機械整體性拆除的能源用量應根據拆除專項方案確定。
5.3.4建筑物拆除后的垃圾外運產生的能源用量應按本標準第6.3節的規定計算。
6建材生產及運輸階段碳排放計算
6.1一般規定
6.1.1建材碳排放應包含建材生產階段及運輸階段的碳排放,并應按現行國家標準《環境管理生命周期評價原則與框架》GB/T24040、《環境管理生命周期評價要求與指南》GB/T24044計算。
6.1.2建材生產及運輸階段的碳排放應為建材生產階段碳排放與建材運輸階段碳排放之和,并應按下式計算:

式中:CJC——建材生產及運輸階段單位建筑面積的碳排放量(kgCO2e/m2);
Csc——建材生產階段碳排放(kgCO2e);
Cys——建材運輸過程碳排放(kgCO2e);
A——建筑面積(m2)。
6.1.3建材生產及運輸階段碳排放計算應包括建筑主體結構材料、建筑圍護結構材料、建筑構件和部品等,納入計算的主要建筑材料的確定應符合下列規定:
1所選主要建筑材料的總重量不應低于建筑中所耗建材總重量的95%;
2當符合本條第1款的規定時,重量比小于0.1%的建筑材料可不計算。
6.2建材生產
6.2.1建材生產階段碳排放應按下式計算:

式中:Csc——建材生產階段碳排放(kgCO2e);
Mi——第i種主要建材的消耗量;
Fi——第i種主要建材的碳排放因子(kgCO2e/單位建材數量),按本標準附錄D取值。
6.2.2建筑的主要建材消耗量(Mi)應通過查詢設計圖紙、采購清單等工程建設相關技術資料確定。
6.2.3建材生產階段的碳排放因子(Fi)應包括下列內容:
1建筑材料生產涉及原材料的開采、生產過程的碳排放;
2建筑材料生產涉及能源的開采、生產過程的碳排放;
3建筑材料生產涉及原材料、能源的運輸過程的碳排放;
4建筑材料生產過程的直接碳排放。
6.2.4建材生產階段的碳排放因子宜選用經第三方審核的建材碳足跡數據。當無第三方提供時,缺省值可按本標準附錄D執行。
6.2.5建材生產時,當使用低價值廢料作為原料時,可忽略其上游過程的碳過程。當使用其他再生原料時,應按其所替代的初生原料的碳排放的50%計算;建筑建造和拆除階段產生的可再生建筑廢料,可按其可替代的初生原料的碳排放的50%計算,并應從建筑碳排放中扣除。
6.3建材運輸
6.3.1建材運輸階段碳排放應按下式計算:

式中:Cys——建材運輸過程碳排放(kgCO2e);
Mi——第i種主要建材的消耗量(t);
Di一—第i種建材平均運輸距離(km);
Ti———第i種建材的運輸方式下,單位重量運輸距離的碳排放因子[kgCO2e/(t·km)]。
6.3.2主要建材的運輸距離宜優先采用實際的建材運輸距離。當建材實際運輸距離未知時,可按本標準附錄E中的默認值取值。
6.3.3建材運輸階段的碳排放因子(Ti)應包含建材從生產地到施工現場的運輸過程的直接碳排放和運輸過程所耗能源的生產過程的碳排放。建材運輸階段的碳排放因子(Ti)可按本標準附錄E的缺省值取值。
表A.0.1化石燃料碳排放因子

本標準用詞說明
1為便于在執行本標準條文時區別對待,對要求嚴格程度不同的用詞說明如下:
1)表示很嚴格,非這樣做不可的:
正面詞采用“必須”,反面詞采用“嚴禁”;
2)表示嚴格,在正常情況下均應這樣做的:
正面詞采用“應”,反面詞采用“不應”或“不得”;
3)表示允許稍有選擇,在條件許可時首先應這樣做的:
正面詞采用“宜”,反面詞采用“不宜”;
4)表示有選擇,在一定條件下可以這樣做的,采用“可”。
2條文中指明應按其他有關標準執行的寫法為:“應符合……的規定”或“應按……執行”。
引用標準名錄
1《民用建筑節水設計標準》GB50555
2《環境管理生命周期評價原則與框架》GB/T24040
3《環境管理生命周期評價要求與指南》GB/T24044
4《建筑節能氣象參數標準》JGJ/T346